Models for mutual admittances

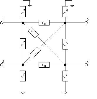
Sometimes it's helpful to look at a picture of what all the mutual impedances/admittances are. The drawing below shows all the admittances. I haven't transformed it into an impedance lattice yet, but, just as an admittance pi network can be transformed to an impedance T network, one should be able to do so.

I find that most people have a better conceptual and practical feel for impedances (since that's what you see on the antenna analyzer and Smith chart) than for admittances. It's a lot more familiar to refer to 50 ohms, rather than 20 millisiemens.

Consider cases with two elements. With the Z matrix, [E] = [Z][I]. What this means is that the voltage at feedpoint 1 is a linear combination of the currents in elements 1..N. If there is no coupling then that entry in the Z matrix is zero.

Consider the Y matrix: [I]=[Y][E]. This gives the current in the element given the voltages at the feed points. Again, if there is no coupling then the corresponding term of the matrix is 0.

Note that in the diagram above, the mutual admittances do NOT, in general, correspond to that entry of the matrix. Consider, for example, the current flowing into #1, i.e. the first row of the Y matrix. It would be:
I1 = E1*Y11 + (E1-E2)*Y12 + (E1-E3)*Y13 + (E1-E4)*Y14
or, after rearranging a bit:
I1 = E1 * ( Y11+Y12+Y13+Y14) + E2 * (-Y12) + E3 * (-Y13) + E4 * (-Y14)

 

radio/antenna/phased/mutualy.htm - 6 Jan 2003 - Jim Lux
(phased arrays) (antennas) (radio) (Jim's home page)